Taraf Intensitas Bunyi

Baca Penjelasan Detail dengan foto beserta berita terbarunya.

Taraf Intensitas Bunyi. Bunyi yang mempunyai taraf intensitas yang tinggi akan memekakkan telinga kita seperti. Sehingga taraf intensitas bunyi dapat dirumuskan secara.

Materi Fisika : Definisi Intensitas, Rumus Dan Taraf ...
Materi Fisika : Definisi Intensitas, Rumus Dan Taraf ... (Ethan Lamb)
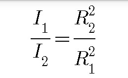
Taraf intesitas mempunyai satuan decibel (dB). Sehingga taraf intensitas bunyi dapat dirumuskan secara. Semakin tinggi taraf intensitas maka semakin bising bunyi tersebut.

Karena energi tiap satuan waktu kita ketahui sebagai pengertian daya.

Besaran ini dinamakan taraf intensitas bunyi disingkat TI.

Gelombang Bunyi - Pengertian, Ciri-Ciri, Rumus Cepat Rambat

Fisika - TIK SMAN 1 Sukadana: Intensitas dan Taraf ...

KBM DARING : FISIKA (LINTAS MINAT) XI IPS : TARAF ...

TARAF INTENSITAS BUNYI - syaiflash.com

SISWA TEKUN BELAJAR: Intensitas Bunyi dan Taraf Intensitas ...

Diketahui Taraf Intensitas Bunyi Sebuah Mesin X Adalah 45 ...

Menentukan Besar Intensitas dan Taraf intensitas Bunyi dua ...

Taraf Intensitas dan Aplikasi Bunyi - Kelompok 4 - | FISIKA

SISWA TEKUN BELAJAR: Intensitas Bunyi dan Taraf Intensitas ...

Besar kecilnya energi bunyi menentukan tingkat kenyaringan bunyi atau suara yang didengar. Intensitas bunyi terkecil yang masih merangsang pendengaran disebut ambang pendengaran ( ) besarnya watt/. Taraf intesitas mempunyai satuan decibel (dB).

close